“浙BA”各队大名单调整 新增球员将启用

2025-11-13

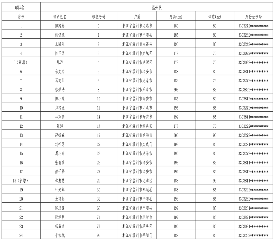
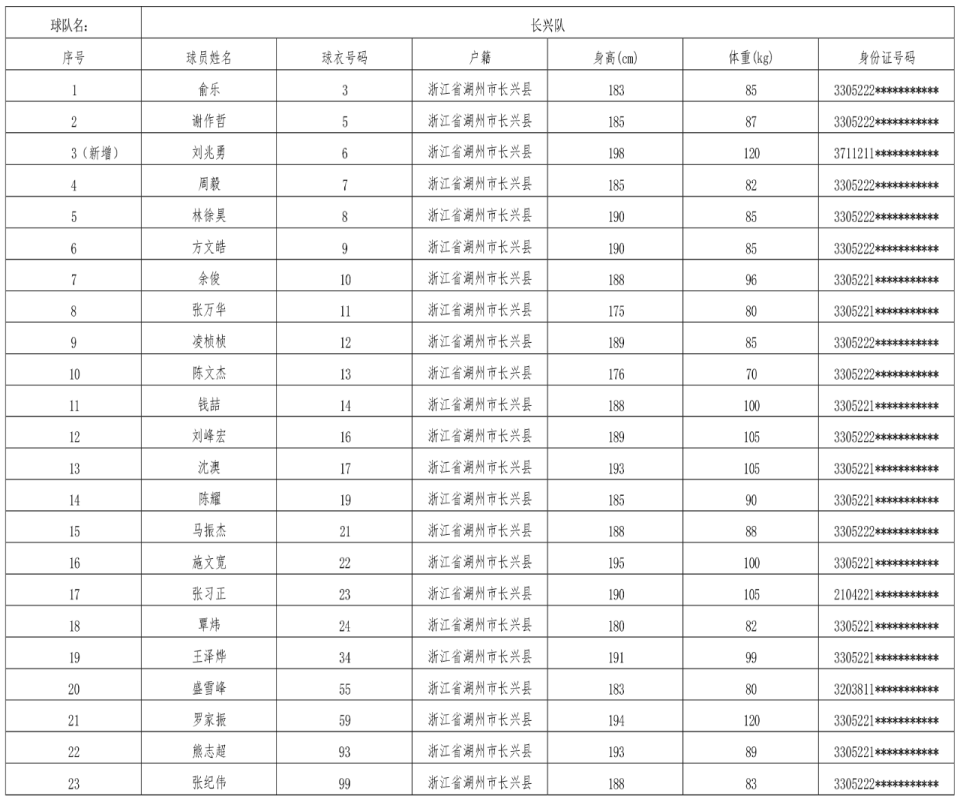
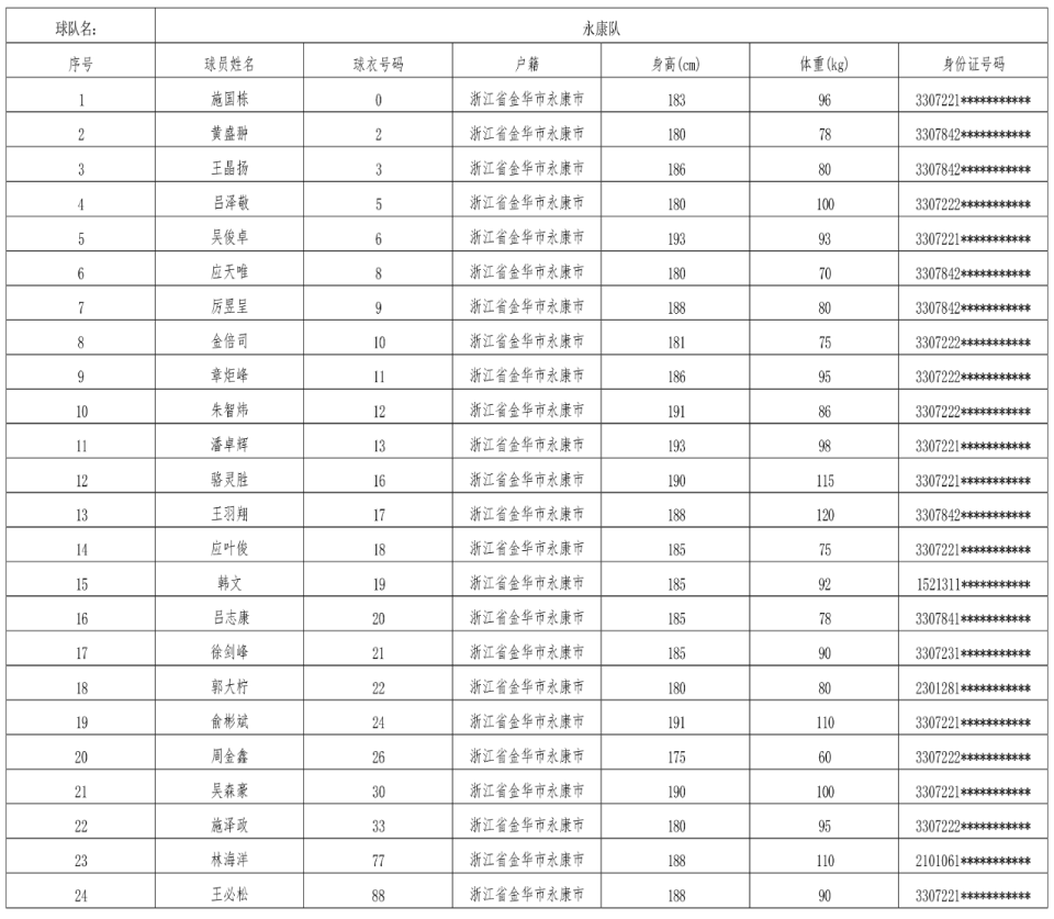
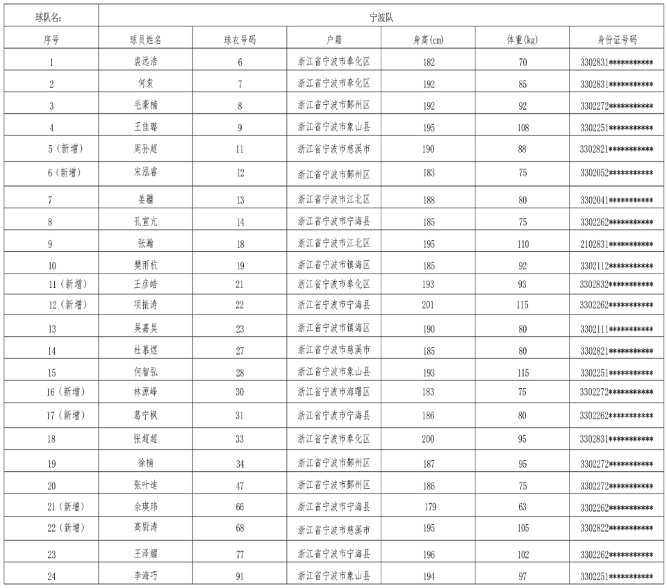
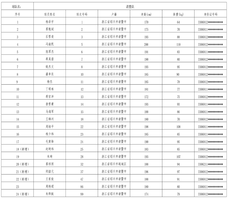
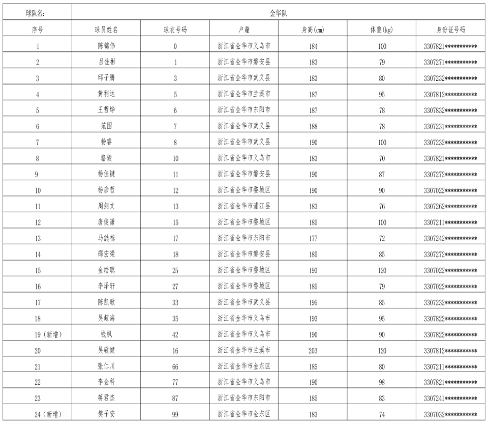
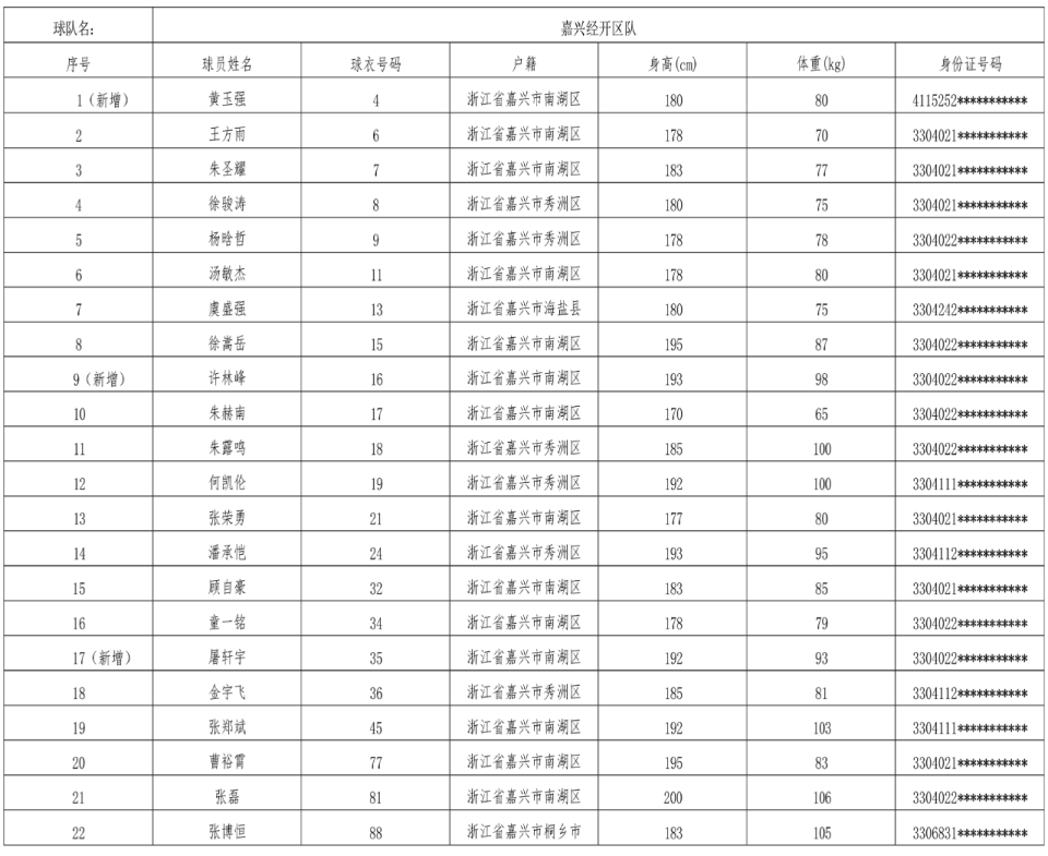
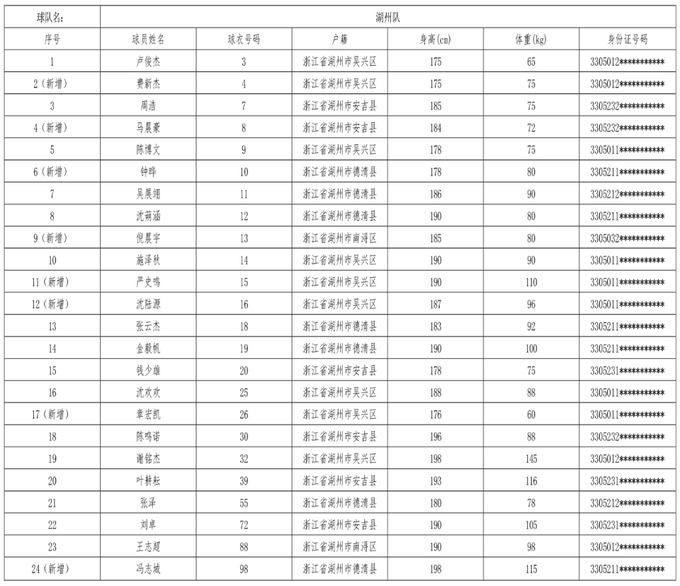
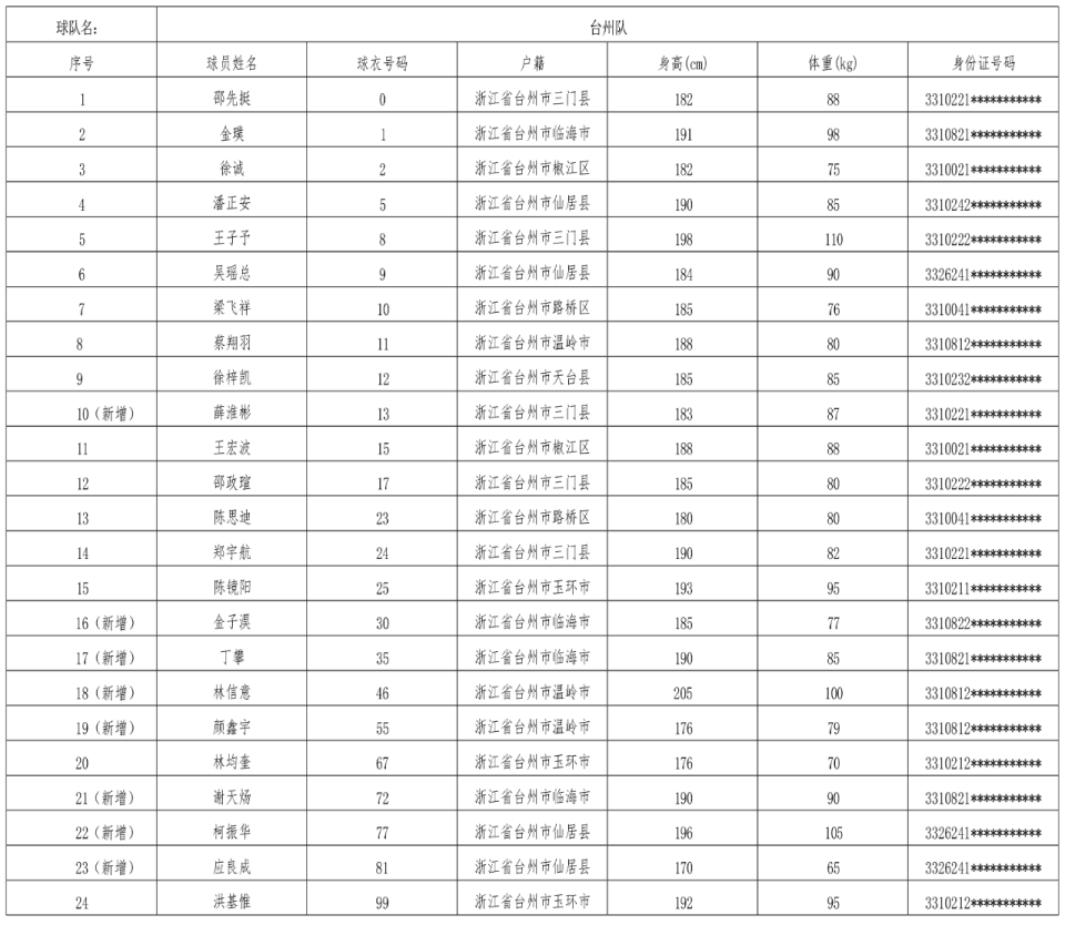
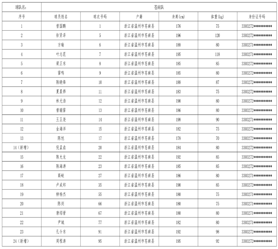
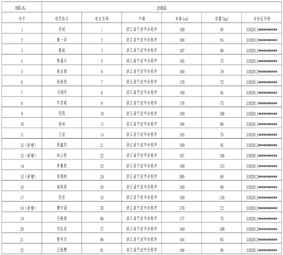
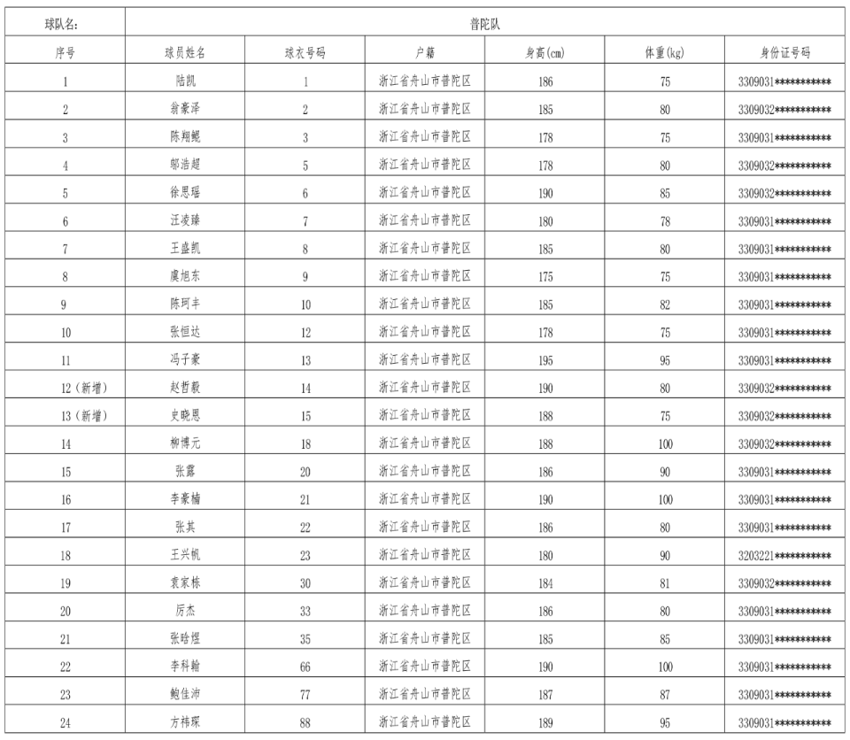
10月15日,浙江省篮球联赛组委会办公室发布通知,公布了调整后的2025年浙江省城市篮球联赛城市争霸赛阶段各参赛队大名单。新增球员自10月21日(小组赛第11轮)起允许启用。

gtimg, kurB, sGBXk

gtimg, com

关于公布2025年浙江省城市篮球联赛城市争霸赛阶段参赛队名单(调整后)的通知.pdf

img, qgAA

起允许启用, ya, HdunT

最新名单一起来看↓↓↓

OrVrJ, src, xt

(点击可查看大图)

一起期待

gtimg, TdWfq, om

TITkp, https, EvXc

img, om

  接下来的精彩比赛!

ROG

来源 | 浙江发布

https

kgwB, bt, bUk

编辑 | 陈思

om, gtimg

校对 | 卓新怡

xx, DpPIN

Ru

bt, oZjNt

OsAA, src, img

yZy, UAA, pq

一审 | 陈涵

RY, ywgv

二审 | 唐宇昕

Vkxei

gtimg, bt, MiuZx

RdPnn, src, img

终审 | 卢发扬

com, om

名单

服务热线

029-7910704

© Copyright 2024 PG电子| PG模拟器「PG试玩游戏」 PG emulator All Rights by PG模拟器

地址:内蒙古自治区乌海市乌达区巴音赛街道
电话:029-7910704